
���գ���Plant and Soil�����й���ѧԺ2������ʽ�����˳�������
�����Ľ�ˮ�����ˮ��Դ���ع��̼����о�������ѧ���Ŷӵ������о��ɹ���������Ϊ����Biochar and microplastics interactively modulate morpho-physiology and growth of maize under soil drying-rewetting cycles����2022��˶ʿ����Ρ��Ϊ��һ���ߣ���ѧ�Ǹ�����ΪͨѶ���ߣ���������
����격ʿ���������о�Ա�������ɽ��ڣ�����ũ�ֿƼ���ѧ½��ʤ�����ڣ��й���ѧԺ��ѧ�е��������о�����Kiril.Manevski�о�Ա������������Ϊ�����ߡ�
���������㡿
1.����̿��΢���Ϲ����������������ֳ�����ЧӦ����������̿�Ʊ��¶ȶ������仯��
2.΢���ϸ������������ӵ�������̿���������ˮ������Ч�ʡ�
3.��������̿���յ�ֲ���ȡ��Դ��ȡ���ԣ�����������̿���յ���Դ������ԡ�
4.������ʪÑ���Ŵ�������̿��΢�����յ���������̬�����仯��
���������
�о�����������̿��һ��������������������ɸ����������ٽ�ֲ����������΢������Ϊ������Ⱦ���ı������������ʣ�Ӱ�����������������ߵ��໥ЧӦ�����ֲ��������DZ�ڻ����в���ȷ��
�о�Ŀ�ģ�̽����������ʪÑ�������£�����̿��΢���Ϲ����������̬������������Ӱ�죬�Խ�ʾ����̿��΢������Ⱦ�����ĸ���DZ����
�о�������������ȫ�����ƣ�����3������̿������������̿��0BC��450�����׽ո�����̿��LTBC��800�����׽ո�����̿��HTBC����3��΢���ϴ�������΢���ϣ�0MPs������ϩPE-MPs��PE-MPs���۱�ϩ΢���ϣ�PP-MPs����2�ֹ�ȷ�ʽ����ֹ�ȣ�FI����ʪ����Ñ����DRC���������ڼ�ⶨ����Ҷ��������������ϵ��̬��ˮ������Ч�ʵ�ָ�ꡣ
����Ҫͼ�ġ�


ͼ1.����̿��BC����΢���ϣ�MPs����΢����̬�����������������ɨ�������΢����SEM��ͼ��a,b,c,d���͸���Ҷ�任������ף�FTIR��ͼ��e����

ͼ2. BC��MPs��������ˮ������WHC����Ӱ�졣

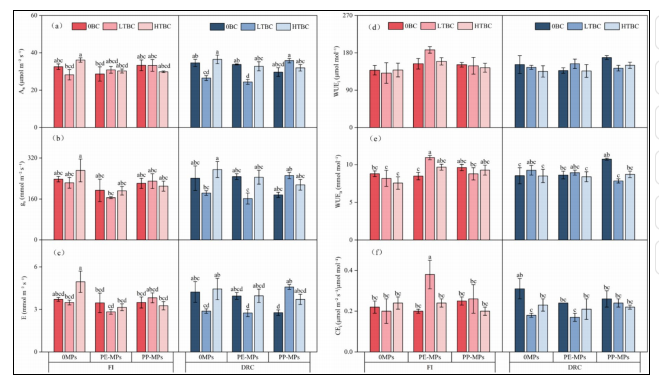
ͼ3.��a��ҶƬ��������ʣ�An��;��b�����׵��ȣ�gs������c���������ʣ�E������d������ˮ������Ч�ʣ�WUEi��;��e��˲ʱˮ������Ч�ʣ�WUEn��;��f��˲ʱ�Ȼ�Ч�ʣ�CEi=An/Ci����

ͼ4.��a�������ܶȣ�SD��;��b��ҶƬ��Ժ�ˮ�ʣ�RWC���ͣ�c��Ҷ���غ���ָ����SPAD����BC��MPs����ȴ�����FI��DRC�����佻�����õ�Ӱ�졣

ͼ5.���ײ�ͬ��״�����ɷַ���ͼ����a����ֹ�ȣ�FI���͸�ʪÑ����DRC�������£���b����ֹ�ȣ�FI�������£���c����ʪÑ����DRC�������£��ֱ���в����ӣ�0BC��0MPs������������̿��LTBC��HTBC���Լ�΢���ϣ�PE-MPs��PP-MPs���Ĵ�����

ͼ6. BC��MPs�͹�ȴ�����FI��DRC��������ֲ�����״��Pearson���ϵ����ͼ��

ͼ7. BC��MPs�����FI��DRC�����µ�������̬������WUE��Ӱ�졣
���о����ۡ�
1.����̿��BC����΢���ϣ�MPs���Ľ������ã�
����̿��΢���϶���������������Ӱ����ֲ���ЧӦ������Ч��ȡ��������̿���ͣ��������ȱ��ȣ�������ʪÑ����DRC������ǿ��
��������̿��LTBC��450���Ƚ⣩��΢������Ⱦ��������ͨ����������������׵�ˮ������Ч�ʣ�WUE��������������̿��HTBC��800���Ƚ⣩���������Ӱ�죬���������Ӿ۱�ϩ΢���ϣ�PP-MPs���������С�
2.ֲ���������Բ��죺
LTBC�յ����ײ�����Դ��ȡ���ԣ�����Ϊ���ӱȸ�����SRL�����Ż���ϵ̽��������HTBC���ʹ���ײ�ȡ��Դ���ز��ԣ�����Ϊ���Ӹ���֯�ܶȣ�RTD���Լ�����ԴͶ�롣
3.������ʪÑ����DRC����Ӱ�죺
DRC�Ŵ�������̿��΢���϶�������̬���������ĸı䡣���磬��DRC�����£�����ϩ΢���ϣ�PE-MPs���������ܸ����ʣ�TDM����ҶƬ�������WUE��
4.����������������Ӧ��
LTBC�併����ҶƬ��������ʣ�An������ͨ�����������ˮ����WHC����ҶƬˮ��״������������������PE-MPs��������Щ����Ч����������߱�Ҷ�����SLA����˲ʱWUE��
HTBC��PP-MPs����϶Ը�ϵ��֯�ܶȺ�Ҷϵ��̬�������������Ӱ�죬������DRC�����¸�Ϊ���ԡ�
5.�ۺϽ��ۣ�
BC��MPsͨ�������������ʡ�ֲ��������̬ÐͬӰ��ֲ��������LTBC�Ժ�PE-MPs�������е����������������ٽ�����HTBC���෴��
δ���о�Ӧ��עBC��MPs�������еı���ʱ�䡢Ǩ�ƹ��ɣ��Լ�ֲ���ڱ���-ˮ�����ÿ���е����ã�������ũҵ��ˮЧ�ʺ���̬�ɳ����ԡ�
���������á�
WeilunLiu,ZhenjuanSu,LigangXu,WangchengLi,JunshengLu,XuezhiLiu,KirilManevski,FulaiLiu(2025) Biochar and microplastics interactively modulate morphophysiology and growth of maize under soil dryingrewetting cycles. Plant and Soil.
//doi.org/10.1007/s11104-025-07709-8.